Marsikaj smo že videli, toda tako bizarnega, psevdoznanstvenega pristopa h kreiranju ekonomskih ukrepov v zahodnih državah se ne spomnim. No, ta Trumpova formula za izračun recipročne bilateralne carine, ki je tako bizarna kot njen promotor osebno, bo šla v zgodovino:
recipročna carina = 0.5 * deficit / uvoz
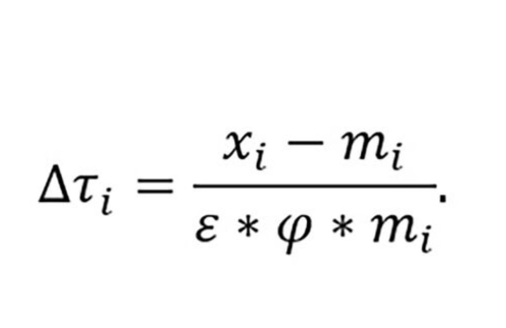
The formula used by USTR to compute “reciprocal” tariffs is a lil “fancier” than the goods trade surplus of a country vs the US divided by its exports to the US. It also includes in the denominator two elasticity terms, epsilon and phi, whose product is in practice equal to 1. So in practice only (x-m)/m matters for measuring reciprocal tariffs.
But still the entire formula is totally flawed as it assumes that the only fair trade balance is zero. By that standard since the US runs a trade surplus in services other countries should impose a large services reciprocal tariffs against the US to balance that trade too! That reciprocal services tariff against the US should average 28% as the US services surplus was about $280 billion in 2023 relative to US exports of about $1 trillion of such services.
Vir: Nouriel Roubini


You must be logged in to post a comment.